
| Head Type에 따른 분류 |


| Hemispherical Head in Horizontal Cylindrical Tank (반구형 Head) |
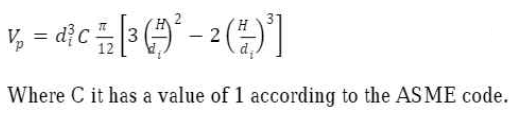
Hemispherical Head는 반구형 Head 모양을 가진 Type입니다.


| Semi-Elliptical Head in Horizontal Cylindrical Tank | ||
| Di (직경) | m | |
| L (길이) | m | |
| H (높이) | m | |
| Total Volume | m3 | |
| Partial Volume | m3 | |
Tank Volume Calculator (탱크부피 계산기)
소제목 내용 내용a 내용a 내용a Sphere Tank 구형 볼탱크 내용 내용 내용 내용 내용 내용 내용 내용 내용 🔅 🔹 ▪️ ✅ •※ 블로그 포스팅 내용은 안전보건환경에 관한 사고사례자료, 기술자료, 업무용 실..
ulsansafety.tistory.com
| 블로그 포스팅 내용은 안전보건환경에 관한 사고사례자료, 기술자료, 업무용 실무자료를 작성하여 배포하고 있습니다. 블로그 내용을 링크하여 사용하는 것은 허용됩니다. 단, 상업적 용도로 활용하는 것을 금지합니다. 상업적 용도로 사용할 경우 ulsansafety@naver.com으로 동의를 받아 사용이 가능합니다. 댓글과 공감은 블로거에게 큰 에너지 입니다. 도움이 되셨다면 댓글과 공감 부탁드립니다. 실시간 소통 💨 SHE실무방 "카카오 오픈 채팅방" 주소 📨 https://open.kakao.com/o/gB0JfKV 💨 ulsansafety 개인연락 📨 https://open.kakao.com/me/ulsansafety |
'SHE PROGRAM' 카테고리의 다른 글
| Sphere Tank (구형 볼탱크) Volume calculator - 부피 계산기 (2) | 2020.04.18 |
|---|---|
| Horizontal Cylindrical Tank (수평 원통형 탱크) Volume Calculation (0) | 2020.04.18 |
| Torispherical Head (접시구형) in Horizontal Cylindrical Tank Volume Calculation (0) | 2020.04.17 |
| 연구실 안전점검표 (0) | 2020.04.16 |
| 지게차 안전점검표 (Fork lift) (5) | 2020.04.13 |
